用η表示機械效率,
表示有用功,
表示總共的功,則η
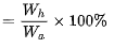
由于大多數機械是在接收輸入功的同時就輸出功,而且輸入輸出的快慢也互相適應,所以機械效率又可定義為:輸出功率
與輸入功率
的百分比,即η
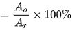
在初中物理,機械效率被定義為有用功
與總功
的比值,即η
在實際機械中總有以下關系:
輸入功=輸出功+消耗功,
或動力功=有用阻力功+無用阻力功,
因此機械效率總小于1。
表示有用功,
表示總共的功,則η
由于大多數機械是在接收輸入功的同時就輸出功,而且輸入輸出的快慢也互相適應,所以機械效率又可定義為:輸出功率
與輸入功率
的百分比,即η
在初中物理,機械效率被定義為有用功
與總功
的比值,即η
在實際機械中總有以下關系:
輸入功=輸出功+消耗功,
或動力功=有用阻力功+無用阻力功,
因此機械效率總小于1。
手機版|
關注公眾號|

下載手機APP

